NoteBro.com
Course Notes & Past Exams

Carleton University

MATH 2004 2015

MATH 2004 2015

Postby jeep123 » Wed Dec 16, 2015 4:45 pm

THE NOTES & STUDY MATERIAL IN THIS POST ARE LOCKED FOR NEW USERS UNTIL YOU MAKE YOUR FIRST POST
Notebro works because our users upload content before getting full access to other student's posts.
The platform is designed so new users are unable to view content until they make a contribution to the community.
You must register or login (Top of page) and contribute at least one useful post (Post Notes button on your schools page).
Try to post quality notes from any class you have good study material for.
Fake, junk, or blank files do not get approved.


Attachments
Fianl-Fall-2014 math2004.pdf
(152.93 KiB)
Fianl-Fall-2014 math2004.pdf
(152.93 KiB)
final 2008 no solutions.pdf
(43.98 KiB)
MATH2004Final 1999 no solutions.PDF
(93 KiB)
Test-1_2004 C _sol-2 001.jpg
Test-1_2004 C_sol-1 001.jpg
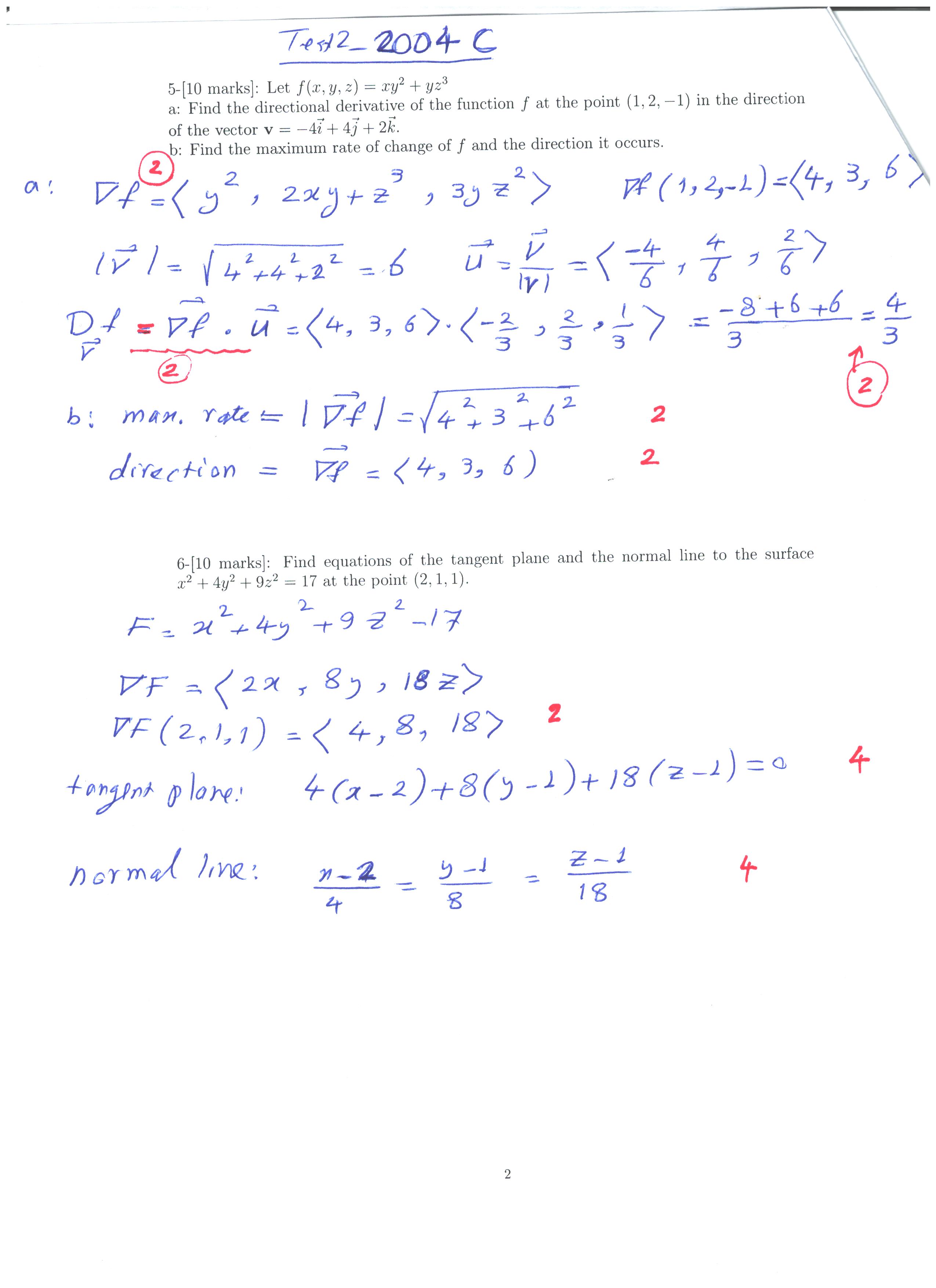
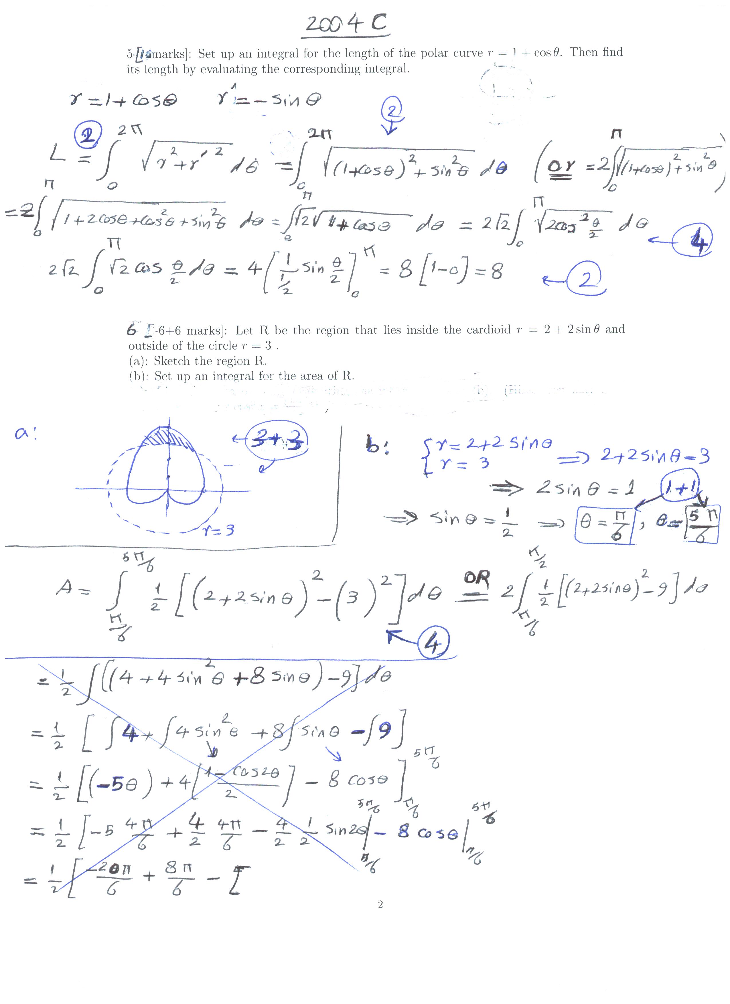
Test-2-2004-C-Sol-2 001.jpg
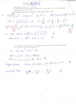
Test-2-2004C-Sol-1 001.jpg
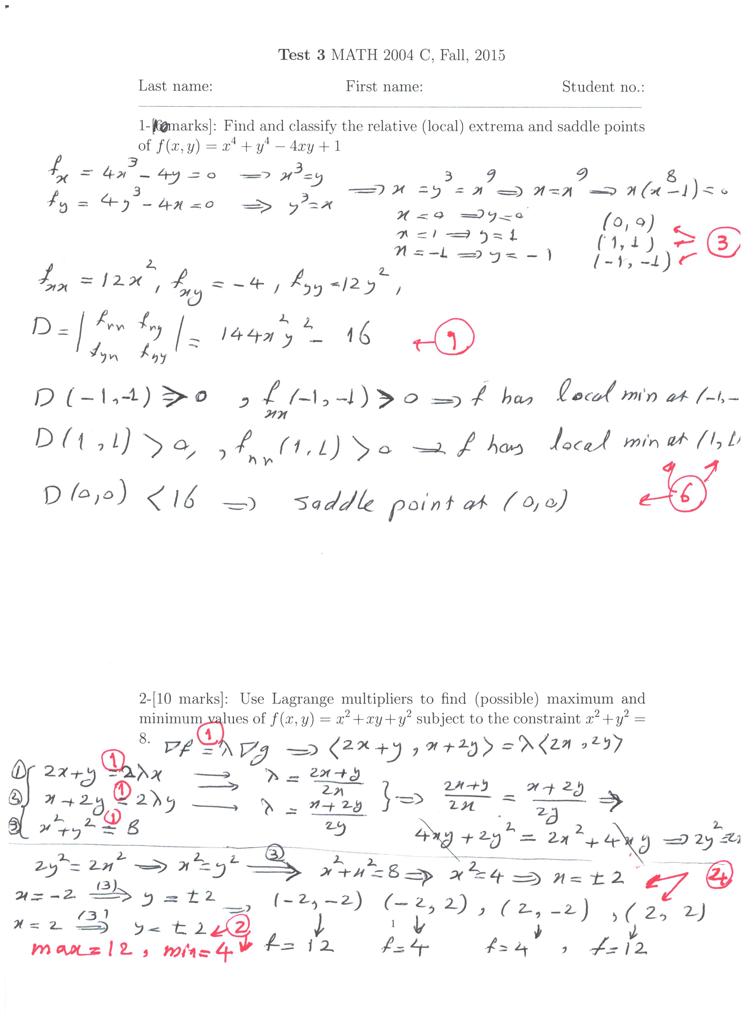
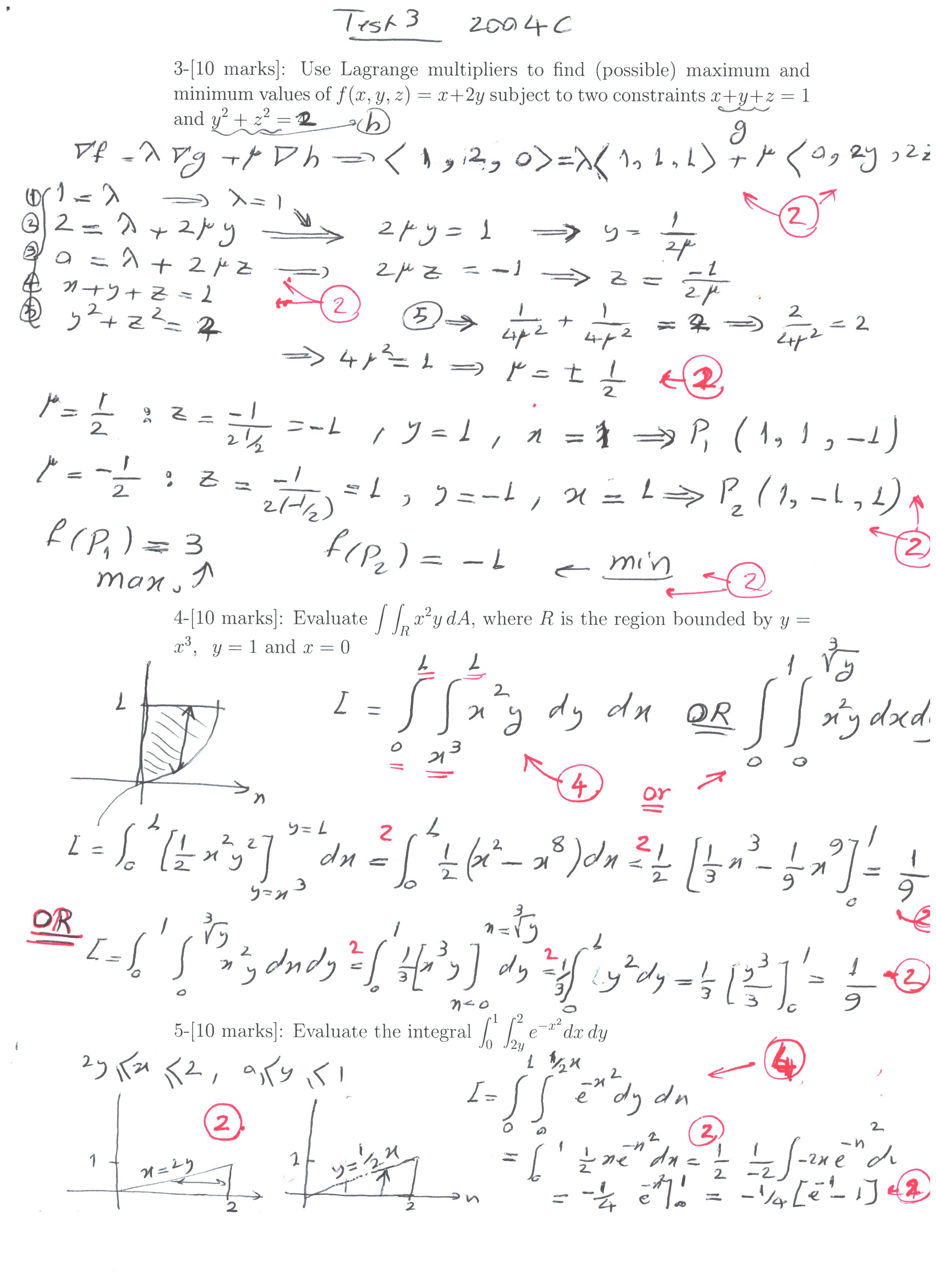
Test-3-2004C-sol-1 001.jpg
Test-3-2004C-sol-2 001.jpg
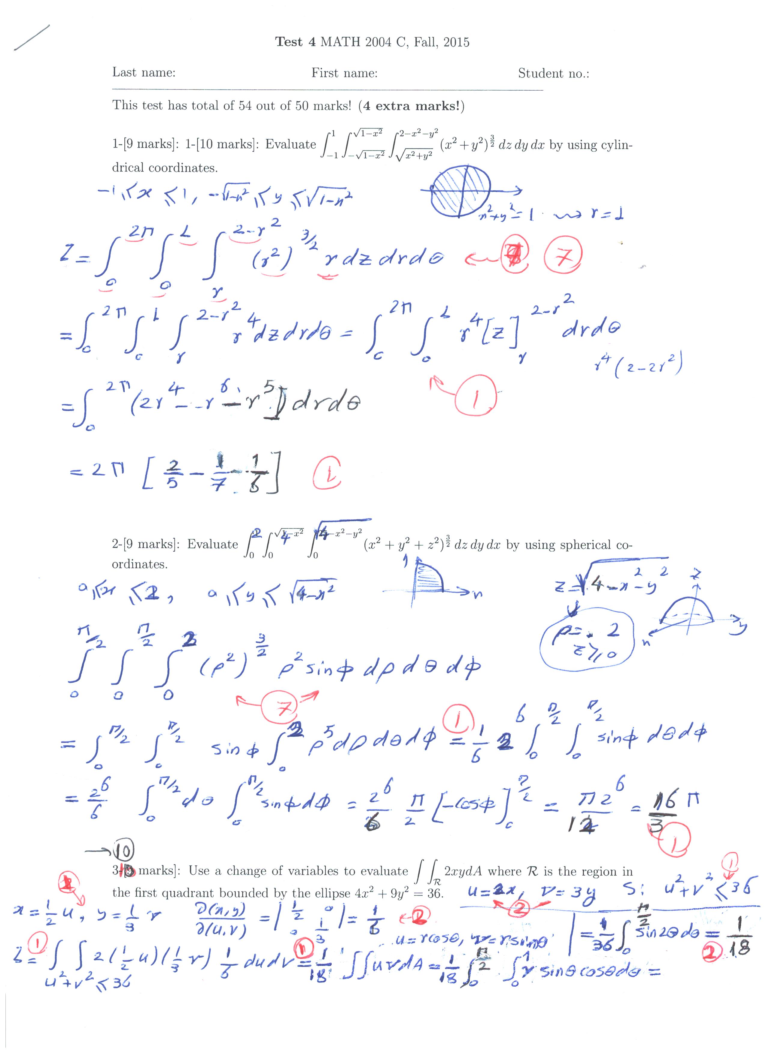
Test-4-2004C-sol-2 001.jpg
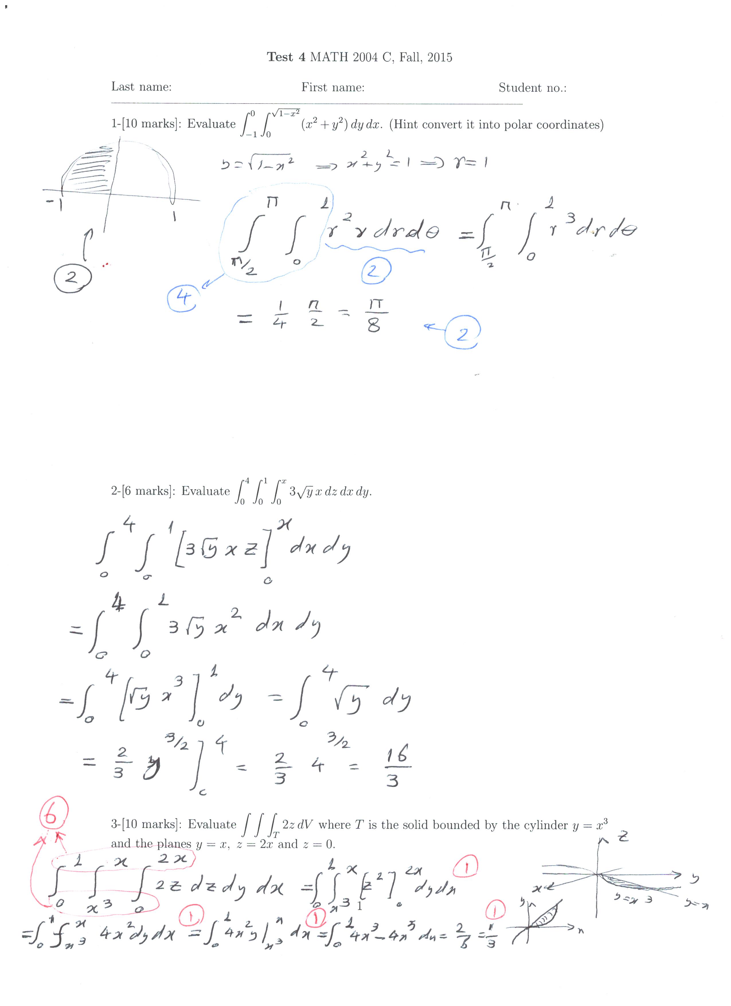
Test-4-2004C-sol-1 001.jpg
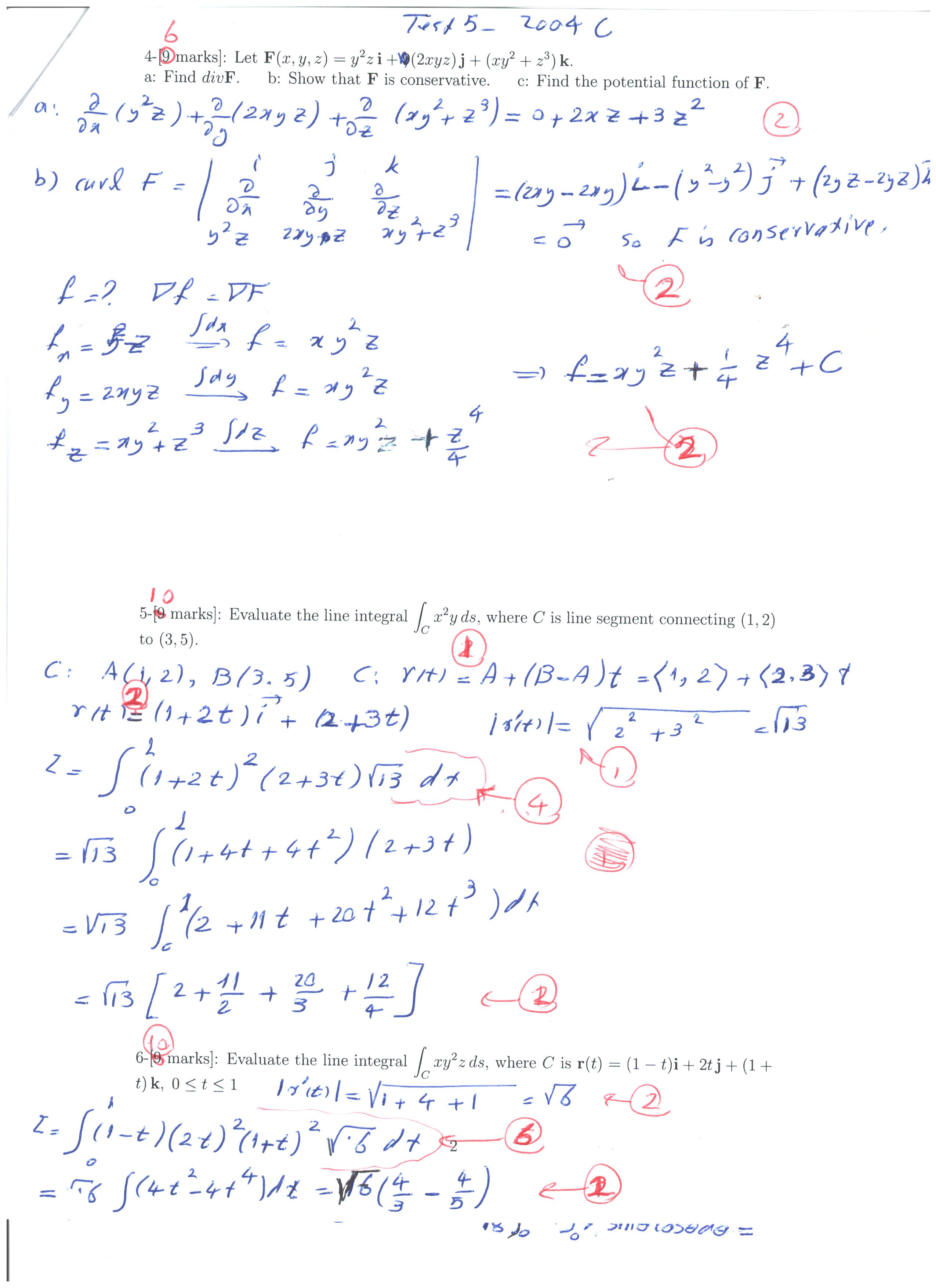
Test-5-2004C-sol-2 001.jpg
Test-5-2004C-sol-1 001.jpg
jeep123
 
Posts: 4
Joined: Tue Apr 14, 2015 4:54 pm

Return to Carleton University