NoteBro.com
Course Notes & Past Exams

uOttawa - University of Ottawa

PHI 1101 Mark Brown Test #2 Outline

PHI 1101 Mark Brown Test #2 Outline

Postby hillkary » Fri Nov 18, 2011 4:02 pm

THE NOTES & STUDY MATERIAL IN THIS POST ARE LOCKED FOR NEW USERS UNTIL YOU MAKE YOUR FIRST POST
Notebro works because our users upload content before getting full access to other student's posts.
The platform is designed so new users are unable to view content until they make a contribution to the community.
You must register or login (Top of page) and contribute at least one useful post (Post Notes button on your schools page).
Try to post quality notes from any class you have good study material for.
Fake, junk, or blank files do not get approved.


Attachments
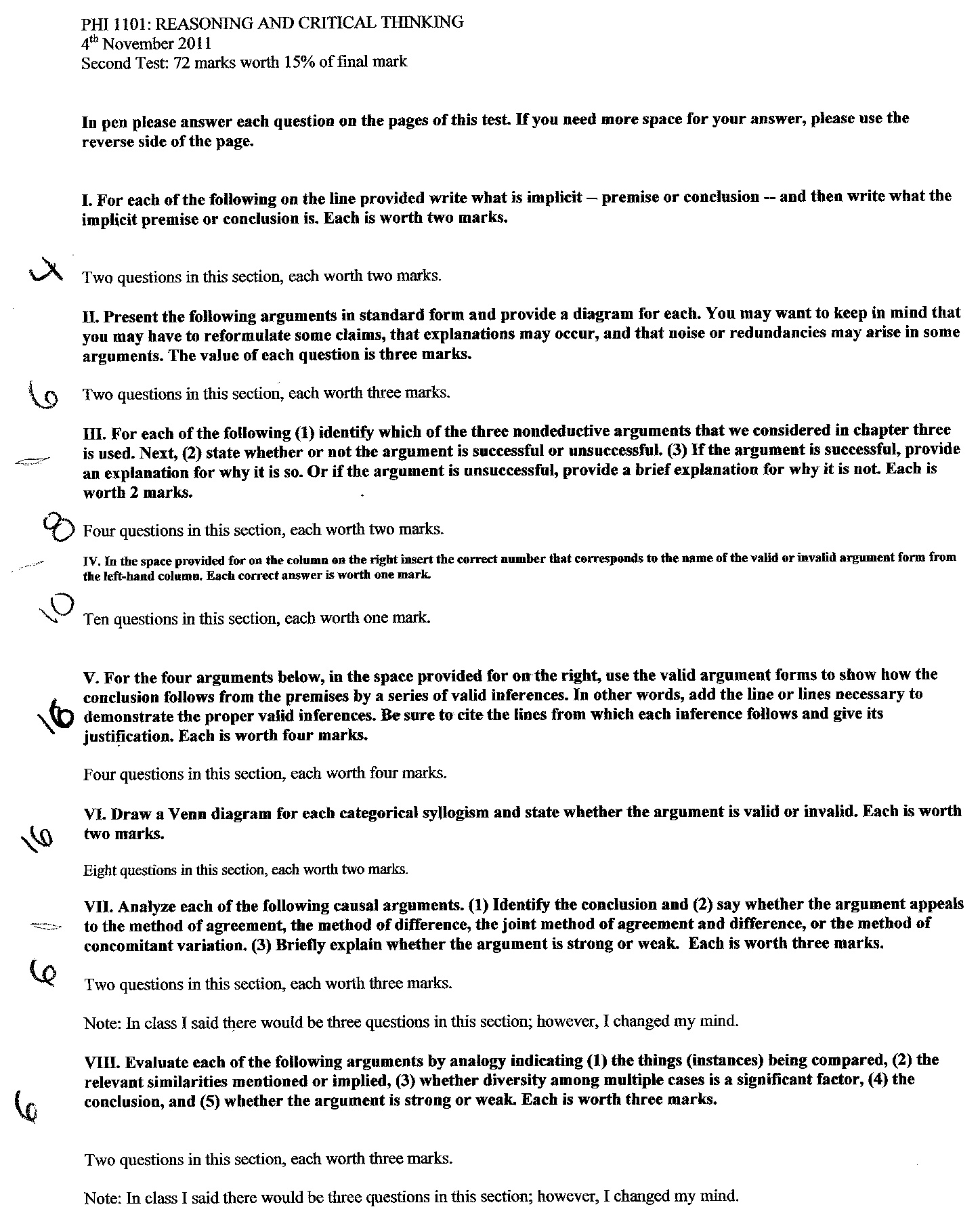
PHI 1101 Test #2.jpg
The numbers at the side are how much each question is worth in total!
hillkary
 
Posts: 2
Joined: Fri Nov 18, 2011 3:09 pm

Re: PHI 1101 Mark Brown Test #2 Outline

Postby jamsio » Mon Feb 27, 2012 1:41 am

THE NOTES & STUDY MATERIAL IN THIS POST ARE LOCKED FOR NEW USERS UNTIL YOU MAKE YOUR FIRST POST
Notebro works because our users upload content before getting full access to other student's posts.
The platform is designed so new users are unable to view content until they make a contribution to the community.
You must register or login (Top of page) and contribute at least one useful post (Post Notes button on your schools page).
Try to post quality notes from any class you have good study material for.
Fake, junk, or blank files do not get approved.

jamsio
 
Posts: 4
Joined: Sun Feb 26, 2012 9:58 pm

Re: PHI 1101 Mark Brown Test #2 Outline

Postby dimaonadime » Sun Apr 15, 2012 6:28 pm

THE NOTES & STUDY MATERIAL IN THIS POST ARE LOCKED FOR NEW USERS UNTIL YOU MAKE YOUR FIRST POST
Notebro works because our users upload content before getting full access to other student's posts.
The platform is designed so new users are unable to view content until they make a contribution to the community.
You must register or login (Top of page) and contribute at least one useful post (Post Notes button on your schools page).
Try to post quality notes from any class you have good study material for.
Fake, junk, or blank files do not get approved.

dimaonadime
 
Posts: 6
Joined: Mon Apr 02, 2012 6:41 pm

Re: PHI 1101 Mark Brown Test #2 Outline

Postby xuda890904 » Mon May 07, 2012 1:45 am

THE NOTES & STUDY MATERIAL IN THIS POST ARE LOCKED FOR NEW USERS UNTIL YOU MAKE YOUR FIRST POST
Notebro works because our users upload content before getting full access to other student's posts.
The platform is designed so new users are unable to view content until they make a contribution to the community.
You must register or login (Top of page) and contribute at least one useful post (Post Notes button on your schools page).
Try to post quality notes from any class you have good study material for.
Fake, junk, or blank files do not get approved.

xuda890904
 
Posts: 6
Joined: Tue Jan 31, 2012 2:30 pm


Return to uOttawa - University of Ottawa



cron