NoteBro.com
Course Notes & Past Exams

uOttawa - University of Ottawa

MAT2384 Notes

MAT2384 Notes

Postby pardonnemoncalculus » Wed Mar 23, 2016 5:11 pm

THE NOTES & STUDY MATERIAL IN THIS POST ARE LOCKED FOR NEW USERS UNTIL YOU MAKE YOUR FIRST POST
Notebro works because our users upload content before getting full access to other student's posts.
The platform is designed so new users are unable to view content until they make a contribution to the community.
You must register or login (Top of page) and contribute at least one useful post (Post Notes button on your schools page).
Try to post quality notes from any class you have good study material for.
Fake, junk, or blank files do not get approved.


Attachments
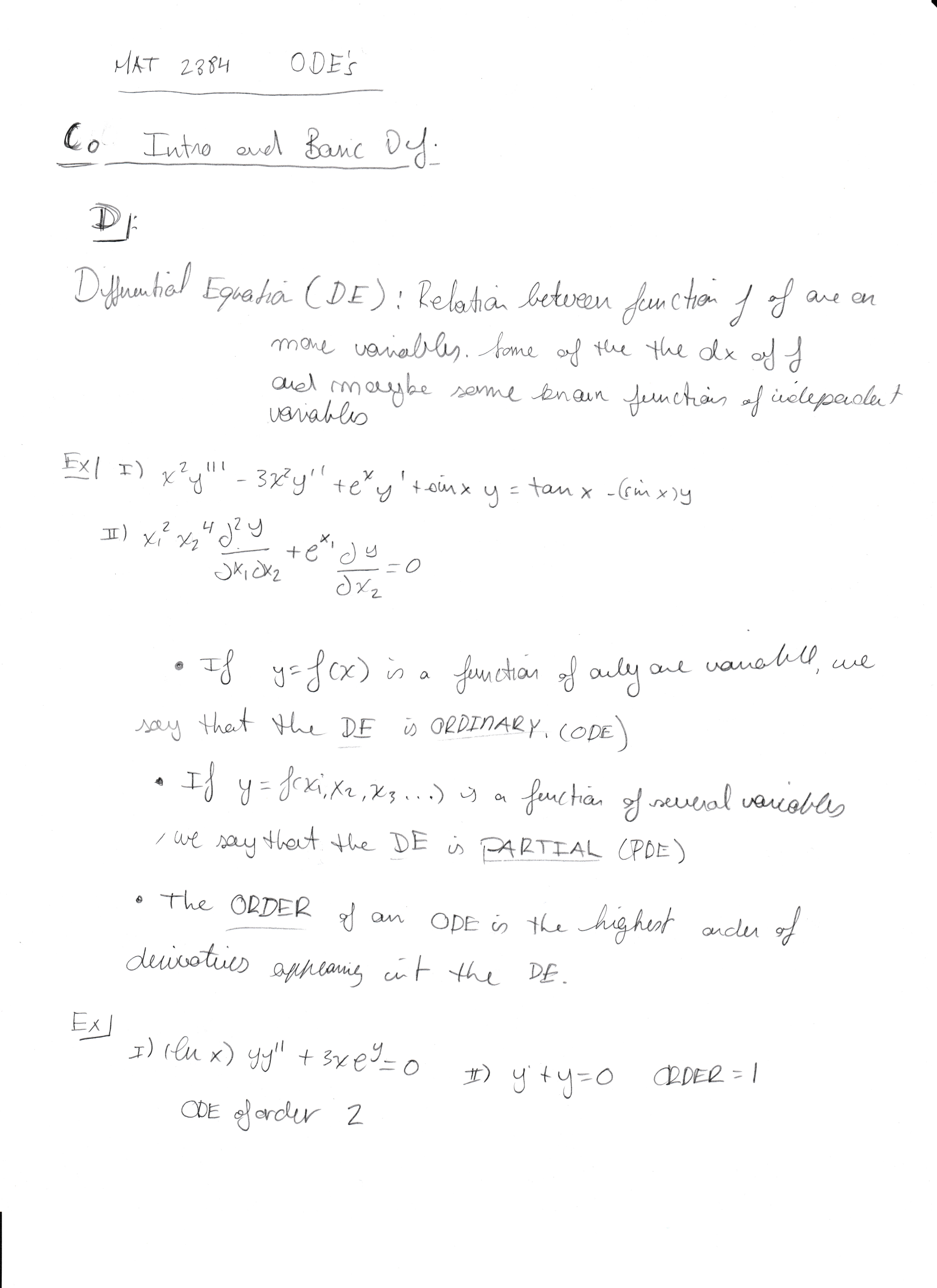
ODE 006.jpg
ODE 005.jpg
ODE 004.jpg
ODE 003.jpg
ODE 002.jpg
ODE 001.jpg
pardonnemoncalculus
 
Posts: 2
Joined: Wed Mar 23, 2016 5:00 pm

Re: MAT2384 Notes

Postby skoolsux » Sat Apr 02, 2016 10:51 pm

THE NOTES & STUDY MATERIAL IN THIS POST ARE LOCKED FOR NEW USERS UNTIL YOU MAKE YOUR FIRST POST
Notebro works because our users upload content before getting full access to other student's posts.
The platform is designed so new users are unable to view content until they make a contribution to the community.
You must register or login (Top of page) and contribute at least one useful post (Post Notes button on your schools page).
Try to post quality notes from any class you have good study material for.
Fake, junk, or blank files do not get approved.

skoolsux
 
Posts: 3
Joined: Sat Mar 19, 2016 4:21 pm


Return to uOttawa - University of Ottawa



cron