NoteBro.com
Course Notes & Past Exams

uOttawa - University of Ottawa

MAT1339

MAT1339

Postby nazila » Wed Jan 08, 2014 9:14 pm

THE NOTES & STUDY MATERIAL IN THIS POST ARE LOCKED FOR NEW USERS UNTIL YOU MAKE YOUR FIRST POST
Notebro works because our users upload content before getting full access to other student's posts.
The platform is designed so new users are unable to view content until they make a contribution to the community.
You must register or login (Top of page) and contribute at least one useful post (Post Notes button on your schools page).
Try to post quality notes from any class you have good study material for.
Fake, junk, or blank files do not get approved.


Attachments
image.jpg
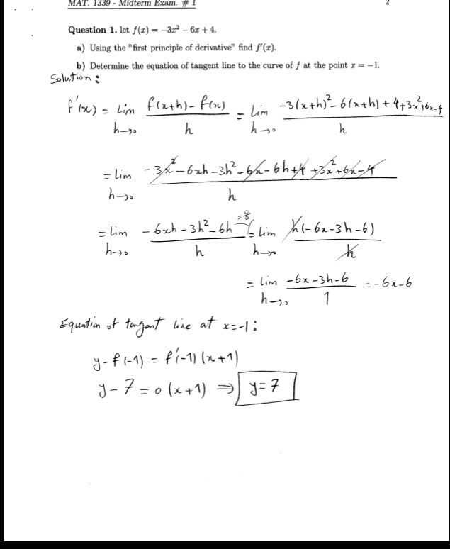
Midterm#1
image.jpg
image.jpg
image.jpg
image.jpg
image.jpg
nazila
 
Posts: 1
Joined: Wed Jan 08, 2014 9:03 pm

Return to uOttawa - University of Ottawa