NoteBro.com
Course Notes & Past Exams

uOttawa - University of Ottawa

MAT1700 Midterm

MAT1700 Midterm

Postby ripmygrades » Mon Oct 14, 2019 10:15 am

THE NOTES & STUDY MATERIAL IN THIS POST ARE LOCKED FOR NEW USERS UNTIL YOU MAKE YOUR FIRST POST
Notebro works because our users upload content before getting full access to other student's posts.
The platform is designed so new users are unable to view content until they make a contribution to the community.
You must register or login (Top of page) and contribute at least one useful post (Post Notes button on your schools page).
Try to post quality notes from any class you have good study material for.
Fake, junk, or blank files do not get approved.


Attachments
D56BCA2B-6973-48D7-9936-CE519AB6F69B.jpeg
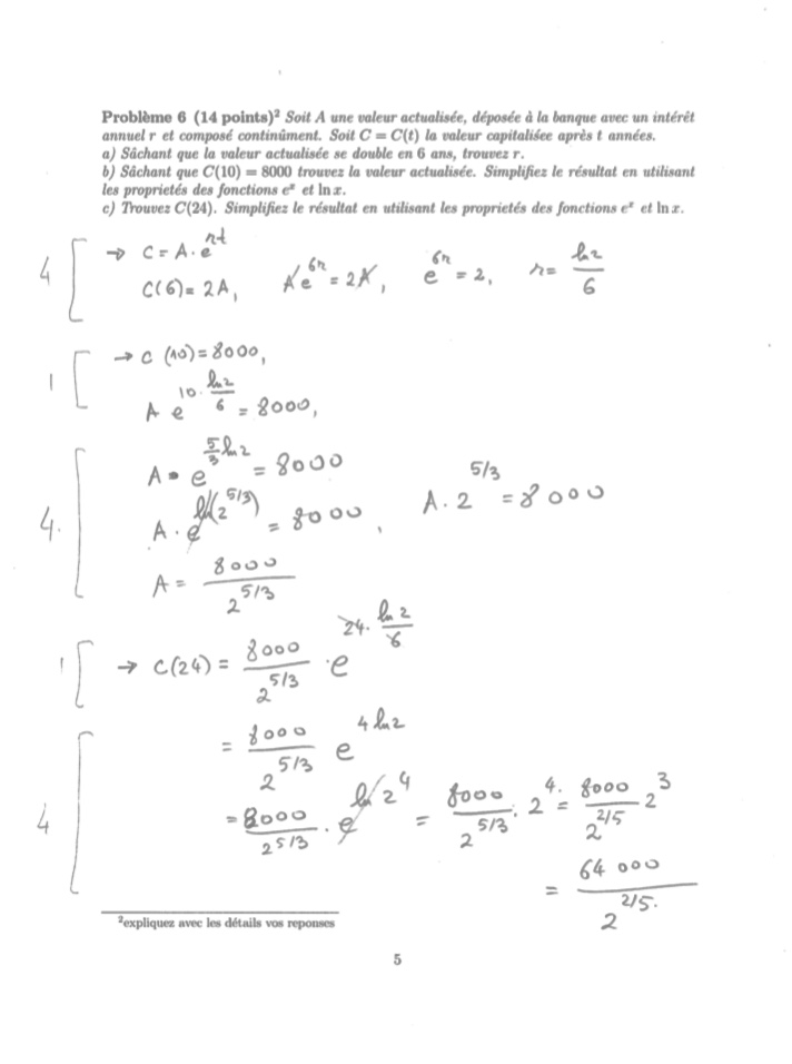
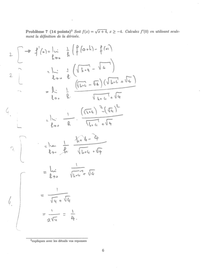
page 5
C2CDEC0A-6DFA-4C08-9C68-10BE393A9899.jpeg
page 4
89EFD6F0-767B-4497-9CC4-9CDF89401FFE.jpeg
page 3
66174ACF-7AA9-4772-B211-50216A2A3D84.jpeg
page 2
C8DCED8C-7DBB-43E1-9B01-904EA0353832.jpeg
page 1
ripmygrades
 
Posts: 4
Joined: Mon Oct 14, 2019 9:49 am

Return to uOttawa - University of Ottawa