NoteBro.com
Course Notes & Past Exams

uOttawa - University of Ottawa

[MAT1341-F2017] Midterm 2

[MAT1341-F2017] Midterm 2

Postby william.huynh » Sun Nov 26, 2017 6:22 pm

THE NOTES & STUDY MATERIAL IN THIS POST ARE LOCKED FOR NEW USERS UNTIL YOU MAKE YOUR FIRST POST
Notebro works because our users upload content before getting full access to other student's posts.
The platform is designed so new users are unable to view content until they make a contribution to the community.
You must register or login (Top of page) and contribute at least one useful post (Post Notes button on your schools page).
Try to post quality notes from any class you have good study material for.
Fake, junk, or blank files do not get approved.


Attachments
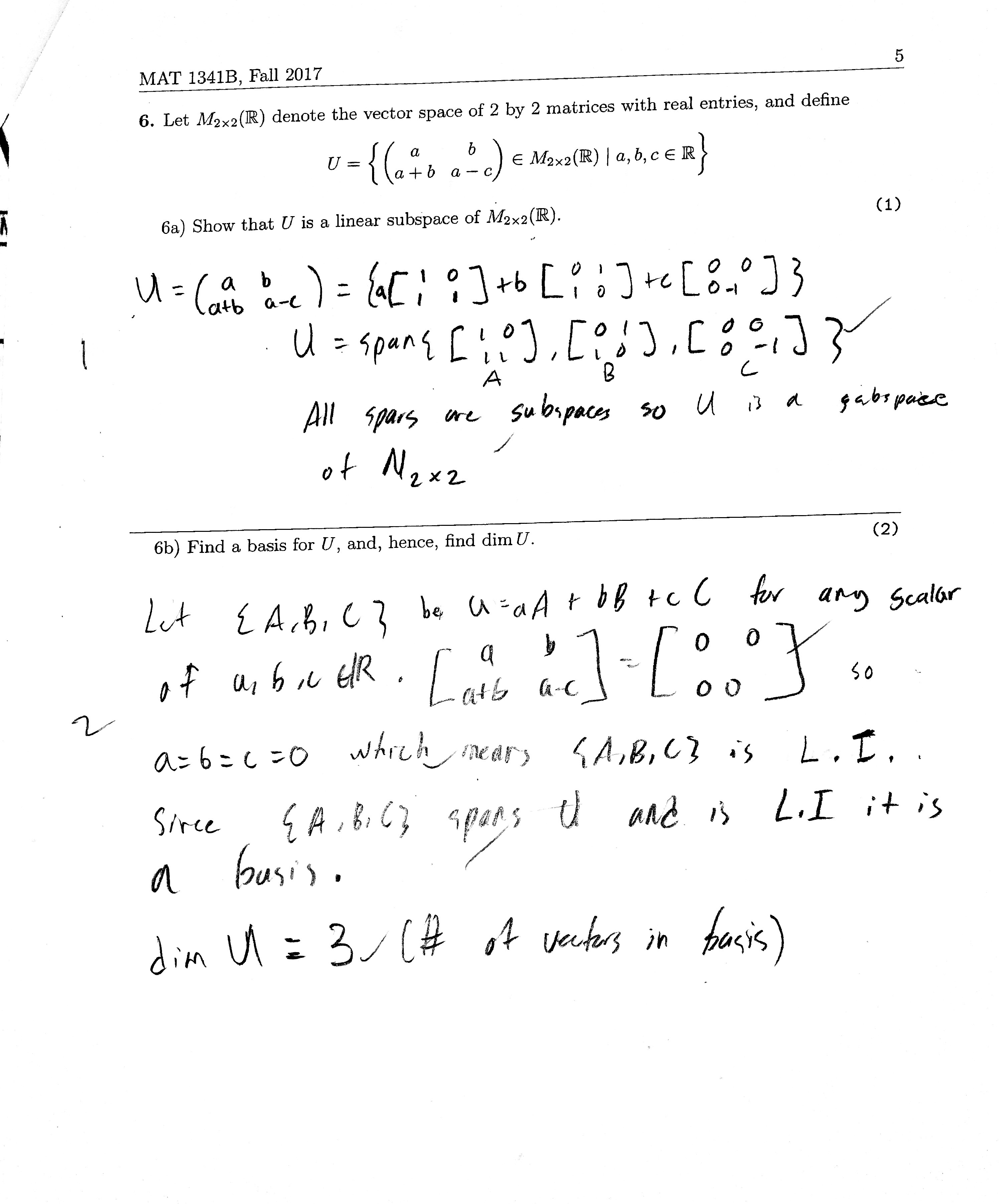
IMG_0930.JPG
IMG_0929.JPG
IMG_0928.JPG
IMG_0927.JPG
IMG_0926.JPG
IMG_0925.JPG
IMG_0924.JPG
william.huynh
 
Posts: 2
Joined: Sat Nov 25, 2017 9:48 pm

Return to uOttawa - University of Ottawa