NoteBro.com
Course Notes & Past Exams

uOttawa - University of Ottawa

Mat1322 midterm 1 test and solution

Mat1322 midterm 1 test and solution

Postby Amin.elhassan » Fri Oct 21, 2016 1:15 am

THE NOTES & STUDY MATERIAL IN THIS POST ARE LOCKED FOR NEW USERS UNTIL YOU MAKE YOUR FIRST POST
Notebro works because our users upload content before getting full access to other student's posts.
The platform is designed so new users are unable to view content until they make a contribution to the community.
You must register or login (Top of page) and contribute at least one useful post (Post Notes button on your schools page).
Try to post quality notes from any class you have good study material for.
Fake, junk, or blank files do not get approved.


Attachments
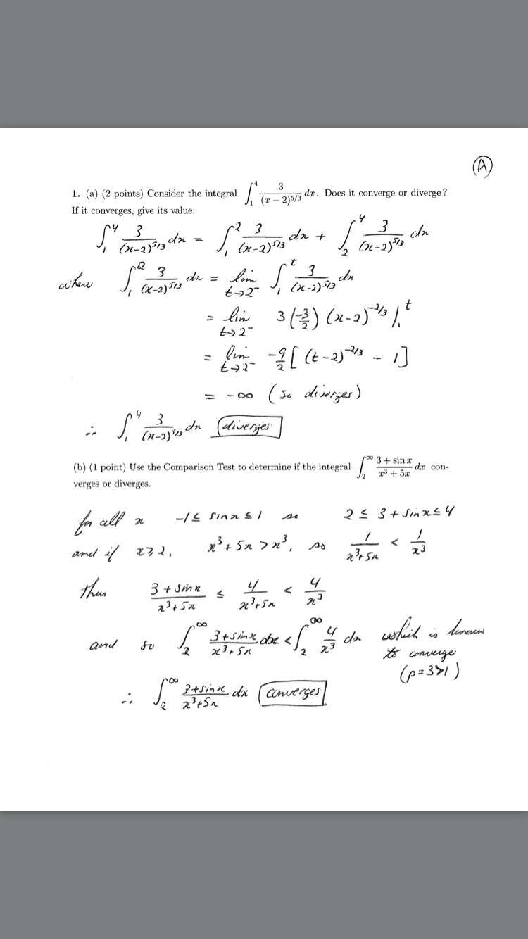
IMG_3231.PNG
IMG_3230.PNG
IMG_3229.PNG
IMG_3228.PNG
IMG_3227.PNG
IMG_3226.PNG
Amin.elhassan
 
Posts: 2
Joined: Fri Oct 21, 2016 12:34 am

Return to uOttawa - University of Ottawa