NoteBro.com
Course Notes & Past Exams

uOttawa - University of Ottawa

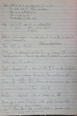
MAT1348 Types of Proofs

MAT1348 Types of Proofs

Postby WingsuitBears » Thu Apr 07, 2016 4:02 pm

THE NOTES & STUDY MATERIAL IN THIS POST ARE LOCKED FOR NEW USERS UNTIL YOU MAKE YOUR FIRST POST
Notebro works because our users upload content before getting full access to other student's posts.
The platform is designed so new users are unable to view content until they make a contribution to the community.
You must register or login (Top of page) and contribute at least one useful post (Post Notes button on your schools page).
Try to post quality notes from any class you have good study material for.
Fake, junk, or blank files do not get approved.


Attachments
20160407_155326.jpg
20160407_155317.jpg
20160407_155308.jpg
20160407_155301.jpg
20160407_155248.jpg
WingsuitBears
 
Posts: 1
Joined: Thu Apr 07, 2016 3:45 pm

Return to uOttawa - University of Ottawa